沈阳鸿宇科技有限公司

【行业资讯】智能制造数字化车间能力评估模型构建

发布时间:2021-08-25 文章来源:鸿宇科技 浏览次数:2225

       近些年来,我国在智能制造方面有了一定的发展,智能制造装备产业规模发展迅速,在一些重点产品方面有所突破,形成了一批具有国际竞争力的龙头企业,但是和发达国家相比,仍然有很大的差距。

       主要表现在产业基础薄弱,高端芯片、核心器件、工业软件等关键技术对外依存度高,区域发展不均衡、创新能力不足等。这些说明,智能制造的内涵和核心还未具体统一的认识,智能制造的发展路径还未明确。需要归纳总结关于智能制造普遍认可的实践经验、通用做法以及核心要素,建立智能制造数字化车间的评价模型与指标体系,以有效、规范地推动我国智能制造的评价工作,促进我国整体智能制造水平的提升。



       目前,开展智能制造评估主要需解决以下问题:

      (1)如何定义智能制造核心要素以及智能制造发展水平,即分析提炼出智能制造的核心要素,并通过建模的方式固化;

      (2)如何度量智能制造核心要素,即通过分解智能制造核心要素,将评估模型向智能制造评价指标进行映射,并找到切实可行的度量计算方法;

      (3)如何应用于不同主体开展评价,即评估模型需要适用于不同主体、不同行业和不同对象。

      目前我国已经发布了《工业企业信息化和工业化融合评估规范》(GB/T23020-2013),该标准适用于为工业企业、行业组织、各级工业和信息化主管部门等开展工业企业两化融合评估工作提供指导和参考依据。

      该标准为企业全面、科学评判其两化融合现状和成效提供系统分析方法,将工业企业两化融合的水平分为了起步建设、单项覆盖、集成提升和创新突破4个阶段,同时提出各方面与不同水平与能力级别相关的评估关键要素,并给出了各要素评估要点。效能与效益评估包括竞争力、经济和社会效益等两个主要评估方面。评估模型如图1所示。

图 1 两化评估模型

       然而智能制造评价指标体系主要针对的是制造企业“智能制造”的发展水平,与两化融合评估规范所针对的对象是不同的。

       针对智能制造的评估还有基于智能制造成熟度模型的评估(图2所示),该模型以产品研发周期、运营成本、产品不良品率、生产效率、能源利用率等效果指标为导向,建立评估模型对制造企业开展评估。该模型更加注重效果类指标,而非生产过程类指标,因此对于企业生产过程的智能化提升还存在不足。

图2 成熟度评估模型

       德国TUV南德提出了基于数字孪生的工业4.0产品测试与评价,该测试从功能安全、信息安全、工业通信的角度,覆盖工业4.0产品中的器件级、设备级、机器级和联通性,评估的步骤包括:

      (1)信息搜集,包括搜集需求、评估方案设计、客户应用剖面;

      (2)分析,包括集成信息的自动化分析,与其他数据的关联和同步检查,丰富相关附加信息;

      (3)评估,包括根据有价值和相关信息执行规定的评估,以及实际条件下的评估;

      (4)结论,包括可操作方案的定义,支持反措施的实施,第三方方案评估。

       该模型重点关注产品测试与评价,而非数字化车间或智能工厂,因此,缺乏从工厂或者车间等系统层面来考虑企业的智能制造能力提升。

图3 TUV南德模型





       根据智能制造总体架构,采用16个评估模块构建数字化车间能力评估模型,对于其中具有耦合关系模块按照功能分成5个中心指标,依次是:

       基础设施指标,包括工厂规划、设备与自动化、网络设施与布局、信息系统、数据管理与应用;生产制造指标:包括生产制造、研发设计、全过程质量、仓储物流;精益管控指标:包括精益改善、能源管控、安全健康;销售服务指标:包括市场销售、售后服务;企业发展指标:包括组织运营、战略创新。

       上述16个模块不是孤立、割裂存在的,它们之间会有依存和相互影响的关系。每一个模块记录为fi(百分制,数值处于0~100之间,数值越大代表本项能力越高),每一个模块有若干角度,在运用此模型时,先对评估对象进行评估,对每一个模块的每一个角度进行分析,给出相应评价,记录为fij(百分制,数值处于0~100之间,数值越大代表本项能力越高)。系统模型拓扑图如图4所示。

图4 系统模型拓扑图

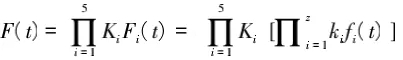
       将系统表示为F(t),每个中心表示为Fi(t)他们之间的关系为:


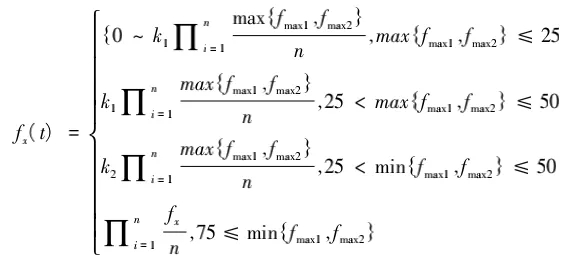
      (1)假定中心i内fx(t)为最大影响因素,其他模块受其能力水平的影响,即:f(t)max。其它模块为:


      (2)假定中心i内存在2个最大影响因素,其它模块受其能力水平的影响,即:fmax1(t),fmax2(t)。其它模块为:


       因此,


       由于不同行业的生产制造过程存在差异,因此,在权重赋值的过程中,还应考虑行业特性。但为了充分体现智能制造的指导方向,基础设施指标和生产制造指标的权重之和不宜低于整体权重的50%。



       将上述评估模型应用于某汽车零部件企业,该企业的产线规划由自身完成,主要依靠个人经验,导致生产线的设计具有一定的不合理性。目前拥有3个车间,其中3号车间有待改造,如重新排布工艺环节,加快生产节拍;增加流水线的设置,覆盖工艺多个环节;实施产品质量追溯等。

       1号车间的产能基本满足个性化定制的需求,但需要进行生产优化、柔性生产方面的改善,如有需求,也可以增加流水线生产、设备信息化、信息系统的构建。

       2号车间有待新建,新建车间建议寻找专业的咨询机构评审建设方案,重点关注工艺布局、流水线生产、设备信息化、信息系统的构建。

       该企业智能制造评估得分为23.6分(满分100分),各模块的评估得分如图5,其中方块表示企业人员自评估结果,线条表示企业人员的期望结果,线条表示专业评估人员的评估结果。

       从评估结果中可以看出,企业人员的自评估结果与专业评估人员的评估结果存在一定重合趋势,但在仓储物流、精益改善等方面与专家认知存在一定的偏差,需要加强这些方面的知识导入和内部管理优化。在“网络设施与布局”、“仓储物流”、“售后服务”等几个模块上,企业自身的认识评估与外部专家的客观评价存在一定的差异,需要企业在下一步核心能力提升过程中,根据业务的实际情况予以重视与关注。

       在精益改善、数据管理与应用、信息系统、企业自评与专家评价结果相同,能力较弱,在实际短板方面,企业的核心关注点在于企业内部智能制造应用体系,如网络设施与布局等。同行业优秀企业对标和专家评价诊断在精益改善、数据管理与应用、信息系统方面有较好的共识,这方面企业应在未来的智能车间建设中予以规划加强;同时,专家评价诊断认为仓储物流、能源管控也需要继续加强。

       由此可见,本评估模型不仅可以给出企业的智能制造评价结果,还可以从评价结果中可以看出企业人员对于智能制造的认识不足,以及企业在开展智能制造过程中的突破口。

图5 企业智能制造评估得分图



       针对企业数字化车间生产制造过程建立的评估模型,对于指导企业开展和实施智能制造改造具有重要意义,但该模型还存在不少缺陷,如无法适用于不同行业、不同生产制造过程的企业,且不同行业的企业不具备横向可比性。另外,在提供的方法基础上,提炼形成不同行业评估模型的构建方法,将是下一步的研究重点。


作者:广东中认华南检测技术有限公司  李宗亮 王攀 王成城 胡冬青 方培潘 林伟洲
转载自:新工业网